Sujet :

[Physique]

Sorrow
   Posté le 09-01-2011 ŕ 20:51:38   

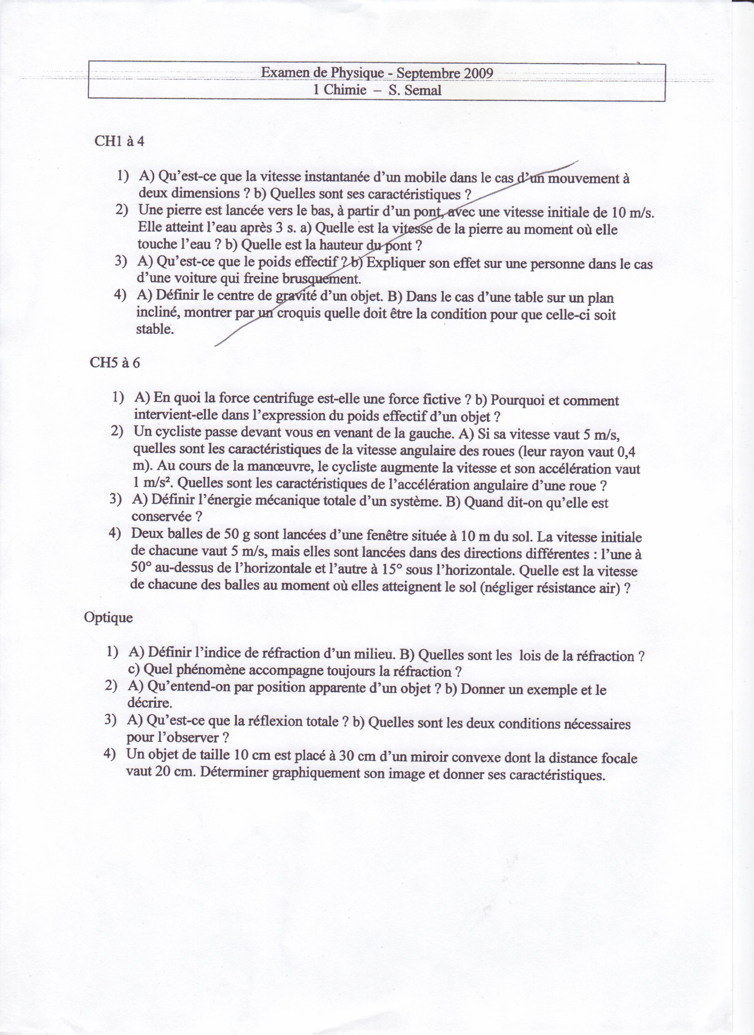
Exam septembre 2009

http://upload.alloforum.com/28576/2EFV37BS


Exam janvier 2010

http://upload.alloforum.com/28576/N2ZT9Z1O


Exam juin 2010

http://upload.alloforum.com/28576/L915XXYN
walid
   Posté le 11-01-2011 ŕ 23:07:50   

Si cela etais possible je t'aurais fais un enfant pour te remercier de cela mon cher Steven
meurisse
   Posté le 12-01-2011 ŕ 22:59:12   

Je ne suis pas certain que lui faire un enfant aurait été une bonne iddée, pac un mix walid (l'invisible) et steven (le mi-temps) j'ai du mal à entrevoir qqch de bon
walid
   Posté le 13-01-2011 ŕ 00:17:01   

Hahaha

C'est vrai que ca risque pas d'etre du jolie

Sacré Nico
Sorrow
   Posté le 13-01-2011 ŕ 01:00:19   

Ben, oserais-je dire que ça donnerait un "Nico" ?
Sorrow
   Posté le 13-01-2011 ŕ 01:01:19   

Et entre (), heureusement que cela t'es impossible :-/
meurisse
   Posté le 14-01-2011 ŕ 15:15:47   

Comme elle était facile STEVEN
Mais ça ne devrait pas tomber loin c'est pas faux
Capsule
   Posté le 16-01-2011 ŕ 12:37:10   

Pour ceux qui veulent les exos de révision de la semaine dernière (on était 6 en classe ^^')
Déso pour le retard mais accouchement de ma soeur + déménagement de mon pc...
Fichier .rar à télécharger avec 3images .jpg
http://cjoint.com/?0bqmIAlCRiJ


Edité le 16-01-2011 à 13:01:17 par Capsule


Roqui
   Posté le 16-01-2011 ŕ 16:15:24   

Merci bien :-P